Note
Go to the end to download the full example code.
Ridge2FoldCV for data with low effective rank#
In this notebook we explain in more detail how
skmatter.linear_model.Ridge2FoldCV
speeds up the cross-validation optimizing
the regularitzation parameter :param alpha: and compare it with existing solution for
that in scikit-learn slearn.linear_model.RidgeCV
.
skmatter.linear_model.Ridge2FoldCV
was designed to predict efficiently feature
matrices, but it can be also useful for the prediction single targets.
import time
import matplotlib.pyplot as plt
import numpy as np
from sklearn.datasets import make_regression
from sklearn.linear_model import RidgeCV
from sklearn.metrics import mean_squared_error
from sklearn.model_selection import KFold, train_test_split
from skmatter.linear_model import Ridge2FoldCV
SEED = 12616
N_REPEAT_MICRO_BENCH = 5
Numerical instabilities of sklearn leave-one-out CV#
In linear regression, the complexity of computing the weight matrix is
theoretically bounded by the inversion of the covariance matrix. This is
more costly when conducting regularized regression, wherein we need to
optimise the regularization parameter in a cross-validation (CV) scheme,
thereby recomputing the inverse for each parameter. scikit-learn offers an
efficient leave-one-out CV (LOO CV) for its ridge regression which avoids
these repeated computations [loocv]. Because we needed an efficient ridge that works
in predicting for the reconstruction measures in skmatter.metrics
we implemented with skmatter.linear_model.Ridge2FoldCV
an
efficient 2-fold CV ridge regression that uses a singular value decomposition
(SVD) to reuse it for all regularization parameters \(\lambda\). Assuming
we have the standard regression problem optimizing the weight matrix in
Here \(\mathbf{Y}\) can be seen also a matrix as it is in the case of multi target learning. Then in 2-fold cross validation we would predict first the targets of fold 2 using fold 1 to estimate the weight matrix and vice versa. Using SVD the scheme estimation on fold 1 looks like this.
The efficient 2-fold scheme in Ridge2FoldCV reuses the matrices
for each fold to not recompute the SVD. The computational complexity after the initial SVD is thereby reduced to that of matrix multiplications.
We first create an artificial dataset
X, y = make_regression(
n_samples=1000,
n_features=400,
random_state=SEED,
)
# regularization parameters
alphas = np.geomspace(1e-12, 1e-1, 12)
# 2 folds for train and validation split
cv = KFold(n_splits=2, shuffle=True, random_state=SEED)
skmatter_ridge_2foldcv_cutoff = Ridge2FoldCV(
alphas=alphas, regularization_method="cutoff", cv=cv
)
skmatter_ridge_2foldcv_tikhonov = Ridge2FoldCV(
alphas=alphas, regularization_method="tikhonov", cv=cv
)
sklearn_ridge_2foldcv_tikhonov = RidgeCV(
alphas=alphas,
cv=cv,
fit_intercept=False, # remove the incluence of learning bias
)
sklearn_ridge_loocv_tikhonov = RidgeCV(
alphas=alphas,
cv=None,
fit_intercept=False, # remove the incluence of learning bias
)
Now we do simple benchmarks
def micro_bench(ridge):
"""A small benchmark function."""
global N_REPEAT_MICRO_BENCH, X, y
timings = []
train_mse = []
test_mse = []
for _ in range(N_REPEAT_MICRO_BENCH):
X_train, X_test, y_train, y_test = train_test_split(
X, y, train_size=0.5, random_state=SEED
)
start = time.time()
ridge.fit(X_train, y_train)
end = time.time()
timings.append(end - start)
train_mse.append(mean_squared_error(y_train, ridge.predict(X_train)))
test_mse.append(mean_squared_error(y_test, ridge.predict(X_test)))
print(f" Time: {np.mean(timings)}s")
print(f" Train MSE: {np.mean(train_mse)}")
print(f" Test MSE: {np.mean(test_mse)}")
print("skmatter 2-fold CV cutoff")
micro_bench(skmatter_ridge_2foldcv_cutoff)
print()
print("skmatter 2-fold CV tikhonov")
micro_bench(skmatter_ridge_2foldcv_tikhonov)
print()
print("sklearn 2-fold CV tikhonov")
micro_bench(sklearn_ridge_2foldcv_tikhonov)
print()
print("sklearn leave-one-out CV")
micro_bench(sklearn_ridge_loocv_tikhonov)
skmatter 2-fold CV cutoff
Time: 0.08877167701721192s
Train MSE: 1.4179323700682082e-25
Test MSE: 3.274563400398066e-25
skmatter 2-fold CV tikhonov
Time: 0.08761343955993653s
Train MSE: 0.006720047338465212
Test MSE: 0.22910125130751807
sklearn 2-fold CV tikhonov
Time: 0.28477277755737307s
Train MSE: 0.006720047338441486
Test MSE: 0.22910125130669332
sklearn leave-one-out CV
Time: 0.05889892578125s
Train MSE: 67160.45816136878
Test MSE: 39570.61996391684
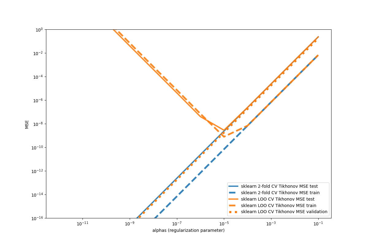
We can see that leave-one-out CV is completely off. Let us manually check each regularization parameter individually and compare it with the store mean squared errors (MSE).
results = {}
results["sklearn 2-fold CV Tikhonov"] = {"MSE train": [], "MSE test": []}
results["sklearn LOO CV Tikhonov"] = {"MSE train": [], "MSE test": []}
X_train, X_test, y_train, y_test = train_test_split(
X, y, train_size=0.5, random_state=SEED
)
def get_train_test_error(estimator):
"""The train tets error based on the estimator."""
global X_train, y_train, X_test, y_test
estimator = estimator.fit(X_train, y_train)
return (
mean_squared_error(y_train, estimator.predict(X_train)),
mean_squared_error(y_test, estimator.predict(X_test)),
)
for i in range(len(alphas)):
print(f"Computing step={i} using alpha={alphas[i]}")
train_error, test_error = get_train_test_error(RidgeCV(alphas=[alphas[i]], cv=2))
results["sklearn 2-fold CV Tikhonov"]["MSE train"].append(train_error)
results["sklearn 2-fold CV Tikhonov"]["MSE test"].append(test_error)
train_error, test_error = get_train_test_error(RidgeCV(alphas=[alphas[i]], cv=None))
results["sklearn LOO CV Tikhonov"]["MSE train"].append(train_error)
results["sklearn LOO CV Tikhonov"]["MSE test"].append(test_error)
# returns array of errors, one error per fold/sample
# ndarray of shape (n_samples, n_alphas)
loocv_cv_train_error = (
RidgeCV(
alphas=alphas,
cv=None,
store_cv_results=True,
scoring=None, # uses by default mean squared error
fit_intercept=False,
)
.fit(X_train, y_train)
.cv_results_
)
results["sklearn LOO CV Tikhonov"]["MSE validation"] = np.mean(
loocv_cv_train_error, axis=0
).tolist()
Computing step=0 using alpha=1e-12
Computing step=1 using alpha=1e-11
Computing step=2 using alpha=1e-10
Computing step=3 using alpha=1e-09
Computing step=4 using alpha=1e-08
Computing step=5 using alpha=1e-07
Computing step=6 using alpha=1e-06
Computing step=7 using alpha=1e-05
Computing step=8 using alpha=0.0001
Computing step=9 using alpha=0.001
Computing step=10 using alpha=0.01
Computing step=11 using alpha=0.1
# We plot all the results.
plt.figure(figsize=(12, 8))
for i, items in enumerate(results.items()):
method_name, errors = items
plt.loglog(
alphas,
errors["MSE test"],
label=f"{method_name} MSE test",
color=f"C{i}",
lw=3,
alpha=0.9,
)
plt.loglog(
alphas,
errors["MSE train"],
label=f"{method_name} MSE train",
color=f"C{i}",
lw=4,
alpha=0.9,
linestyle="--",
)
if "MSE validation" in errors.keys():
plt.loglog(
alphas,
errors["MSE validation"],
label=f"{method_name} MSE validation",
color=f"C{i}",
linestyle="dotted",
lw=5,
)
plt.ylim(1e-16, 1)
plt.xlabel("alphas (regularization parameter)")
plt.ylabel("MSE")
plt.legend()
plt.show()

We can see that Leave-one-out CV is estimating the error wrong for low alpha values. That seems to be a numerical instability of the method. If we would have limit our alphas to 1E-5, then LOO CV would have reach similar accuracies as the 2-fold method.
Important to note that this is not an fully encompasing comparison covering sufficient enough the parameter space. We just want to note that in cases with high feature size and low effective rank the ridge solvers in skmatter can be numerical more stable and act on a comparable speed.
Cutoff and Tikhonov regularization#
When using a hard threshold as regularization (using parameter cutoff
),
the singular values below \(\lambda\) are cut off, the size of the
matrices \(\mathbf{A}_1\) and \(\mathbf{B}_1\) can then be reduced,
resulting in further computation time savings. This performance advantage of
cutoff
over the tikhonov
is visible if we to predict multiple targets
and use a regularization range that cuts off a lot of singular values. For
that we increase the feature size and use as regression task the prediction
of a shuffled version of \(\mathbf{X}\).
X, y = make_regression(
n_samples=1000,
n_features=400,
n_informative=400,
effective_rank=5, # decreasiing effective rank
tail_strength=1e-9,
random_state=SEED,
)
idx = np.arange(X.shape[1])
np.random.seed(SEED)
np.random.shuffle(idx)
y = X.copy()[:, idx]
singular_values = np.linalg.svd(X, full_matrices=False)[1]
plt.loglog(singular_values)
plt.title("Singular values of our feature matrix X")
plt.axhline(1e-8, color="gray")
plt.xlabel("index feature")
plt.ylabel("singular value")
plt.show()

We can see that a regularization value of 1e-8 cuts off a lot of singular
values. This is crucial for the computational speed up of the cutoff
regularization method
# we use a denser range of regularization parameters to make
# the speed up more visible
alphas = np.geomspace(1e-8, 1e-1, 20)
cv = KFold(n_splits=2, shuffle=True, random_state=SEED)
skmatter_ridge_2foldcv_cutoff = Ridge2FoldCV(
alphas=alphas,
regularization_method="cutoff",
cv=cv,
)
skmatter_ridge_2foldcv_tikhonov = Ridge2FoldCV(
alphas=alphas,
regularization_method="tikhonov",
cv=cv,
)
sklearn_ridge_loocv_tikhonov = RidgeCV(
alphas=alphas,
cv=None,
fit_intercept=False, # remove the incluence of learning bias
)
print("skmatter 2-fold CV cutoff")
micro_bench(skmatter_ridge_2foldcv_cutoff)
print()
print("skmatter 2-fold CV tikhonov")
micro_bench(skmatter_ridge_2foldcv_tikhonov)
print()
print("sklearn LOO CV tikhonov")
micro_bench(sklearn_ridge_loocv_tikhonov)
skmatter 2-fold CV cutoff
Time: 0.10312943458557129s
Train MSE: 8.199211435485744e-23
Test MSE: 8.313680615089296e-23
skmatter 2-fold CV tikhonov
Time: 0.14883384704589844s
Train MSE: 2.1125597863649234e-14
Test MSE: 2.5492748573047085e-14
sklearn LOO CV tikhonov
Time: 0.19776172637939454s
Train MSE: 2.1125614101115145e-14
Test MSE: 2.5492799198499383e-14
We also want to note that these benchmarks have huge deviations per run and that more robust benchmarking methods would be adequate for this situation. However, we cannot do this here as we try to keep the computation of these examples as minimal as possible.
References#
Rifkin “Regularized Least Squares.” https://www.mit.edu/~9.520/spring07/Classes/rlsslides.pdf